- 聯系我們
- 內 貿 部:0632-5228899 18806325904
外 貿 部:0632-3671188 17763266218
采 購 部:0632-7663999 18663267979
人力資源:0632-7683555
郵箱:kr@krwater.com
官 網:http://m.nmgyhsy.com
地址:山東省棗莊市薛城區薛城化工產業園府前路路南1號
Tetra sodium salt of Amino Trimethylene Phosphonic Acid (ATMP·Na4)
- CAS No. 20592-85-2
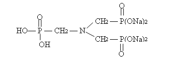
- 分子式 C3H8NO9P3Na4 相對分子質量:387
- 結構式

- 一、性能與用途:
-
ATMP?Na4(氨基三甲叉膦酸四鈉)是ATMP的中性鈉鹽,可阻止水中成垢鹽類形成水垢,特別是碳酸鈣垢的形成。 本產品適用于火力發電廠、煉油廠的循環冷卻水、油田回注水系統,反滲透膜的阻垢劑。ATMP?Na4對于其他一些添加劑也有很好的相容性。本產品特別適用于中性到酸性配方中,無氨味產生。
- 二、技術指標
| 項 目 |
指 標 |
| 外 觀 |
無色至微黃色透明液體 |
| 活性組分(以ATMP計)%
|
≥30.0 |
| 活性組分(以ATMP?Na4計) % |
≥38.8 |
| 氯化物(以Cl-計) % |
≤1.0 |
| Fe(以Fe2+計)含量mg/L |
≤10.0 |
| 密度(20℃)g/cm3
|
1.35-1.45 |
| pH值(1%水溶液) |
6.0-8.0 |
- 三、使用方法
-
ATMP?Na4(氨基三甲叉膦酸四鈉)與其它有機膦酸、聚羧酸或聚羧酸鹽等復配成有機堿性水處理劑,用于各種不同水質條件的循環冷卻水系統。
- 四、包裝與貯存
-
ATMP?Na4(氨基三甲叉膦酸四鈉)用塑料桶包裝,每桶25Kg 或250Kg,也可根據用戶需要確定。ATMP?Na4貯于室內陰涼處,貯存期十二個月。
- 五、安全防護
-
ATMP?Na4 (氨基三甲叉膦酸四鈉)為中性,操作時注意勞動保護,應避免與皮膚、眼睛等接觸,接觸后用大量清水沖洗。