- 聯系我們
- 內 貿 部:0632-5228899 18806325904
外 貿 部:0632-3671188 17763266218
采 購 部:0632-7663999 18663267979
人力資源:0632-7683555
郵箱:kr@krwater.com
官 網:http://m.nmgyhsy.com
地址:山東省棗莊市薛城區薛城化工產業園府前路路南1號
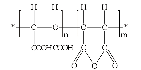
Hydrolyzed Polymaleic Anhydride (HPMA)
- 別名:聚馬來酸酐、聚馬、 聚順丁烯二酸
- CAS No. 26099-09-2
- 結構式

- 一、性能與用途:
- HPMA一般相對分子量為400-800;無毒,易溶于水,化學穩定性及熱穩定性高,分解溫度在330℃以上;HPMA適用于堿性環境。
- HPMA由于阻垢性能和耐高溫性能優異,因此在海水淡化的閃蒸裝置中和低壓鍋爐及工業循環冷卻水中得到廣泛使用。并有一定的緩蝕作用,與鋅鹽復配緩蝕效果更好,也可用于水泥外加劑,鹽堿土壤改良劑。
- 二、技術指標
|
項 目 |
指 標 |
| ------ |
符合GB/T 10535-2014 |
| 外 觀 |
淺黃色至棕紅色透明液體 |
棕紅色透明液體 |
| 固體含量 % |
≥48.0 |
≥50.0 |
| 溴值 mg/g |
≤50.0 |
≤50.0 |
| 密度(20℃)g/cm3 |
1.22-1.25 |
1.22-1.25 |
| pH(1%水溶液) |
2.0-3.0 |
2.0-3.0 |
- 三、使用方法
-
HPMA單獨使用時一般使用濃度為1-15mg/L,常與有機膦酸鹽復合,用于循環冷卻水處理及高壓鍋爐的爐內處理,具有良好的抑制水垢生成和剝離老垢的作用,阻垢率可達98%,EDTMPS與HPMA按1:3比例復配后,可用于低壓鍋爐爐內水處理;與鋅鹽復配時,能有效地防止碳鋼的腐蝕。
- 四、包裝與貯存
-
HPMA用塑料桶包裝,每桶25kg或250kg,或根據用戶需求確定。貯存期為十二個月。
- 五、安全防護
- HPMA為酸性,操作時注意勞動保護,應避免與皮膚、眼睛等接觸,接觸后用大量清水沖洗。