- 聯系我們
- 內 貿 部:0632-5228899 18806325904
外 貿 部:0632-3671188 17763266218
采 購 部:0632-7663999 18663267979
人力資源:0632-7683555
郵箱:kr@krwater.com
官 網:http://m.nmgyhsy.com
地址:山東省棗莊市薛城區薛城化工產業園府前路路南1號
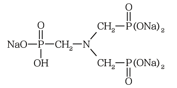
Penta Sodium Salt of Amino Trimethylene Phosphonic Acid(ATMP·Na5)
- 別名: 氨基三亞甲基膦酸五鈉
- CAS No.20592-85-2 (x-Na), 2235-43-0 (5-Na)
- 分子式 C3H7NO9P3Na5 相對分子質量:409
- 結構式

- 一、性能與用途:
- ATMP?Na5是ATMP的鈉鹽溶液,可阻止水中成垢鹽類形成水垢,特別是碳酸鈣垢的形成。
- ATMP?Na5用于鍋爐水處理、油田回注水系統、工業和市政清潔水處理及冷卻水處理的金屬緩蝕。
- ATMP?Na5作為通用型低成本阻垢劑,有較好的緩蝕作用,螯合性能較好。
- 二、技術指標
| 項 目 |
指 標 |
| 外 觀 |
無色至微黃色透明液體 |
| 活性組分(以ATMP計) %
|
≥28.0 |
| 活性組分(以ATMP?Na5計) % |
≥38.3 |
| 總磷(以 PO43-計) % |
—— |
| 氯化物 (以Cl-計)% |
≤1.0 |
|
Fe含量(以Fe2+計) mg/L
|
≤10.0 |
| 密度(20℃)g/cm3 |
1.38-1.48 |
| pH值(1%水溶液) |
10.0-11.0 |
- 三、使用方法
-
ATMP?Na5與其它有機膦酸、聚羧酸或鹽等復配成有機堿性水處理劑;用于各種不同水質條件下的循環冷卻水系統。
- 四、包裝與貯存
-
ATMP?Na5用塑料桶包裝,每桶25kg 或250kg,或根據用戶需求確定。貯于室內陰涼處,貯存期十二個月。
- 五、安全防護
-
ATMP?Na5為弱堿性,操作時注意勞動保護,應避免與皮膚、眼睛等接觸,接觸后用大量清水沖洗。